SLW型双管螺旋喂料器库

该螺旋喂料机适用于干燥粉状物料(如煤粉、水泥、谷物、砂石等)的均匀连续供料。
该设备采用摆线针轮减速机,加装VF变频器,调速范围广,运转平稳、噪声低、结构紧凑、体积小,可以方便地调节物料流量,满足不同生产工艺要求。
型号说明:

双管螺旋喂料机主要技术参数:
|
规格型号
|
转速(r/min)
|
输送能力(m3/h)
|
计算需要功(kw)
|
减速器型号
|
重量kg
|
|
Φ125×1500
|
20~80
|
2~5
|
0.491
|
BWD18-17-2.2
|
1160
|
|
Φ125×2500
|
20~80
|
2~5
|
0.871
|
BWD18-17-2.2
|
1340
|
|
Φ150×1500
|
26~79
|
5~10
|
0.987
|
BWD18-17-2.2
|
1550
|
|
Φ150×2500
|
26~79
|
5~10
|
1.635
|
BWD22-17-4.0
|
1750
|
|
Φ175×1500
|
25~80
|
6~16
|
1.57
|
BWD22-17-4.0
|
1750
|
|
Φ175×2500
|
25~80
|
6~16
|
2.62
|
BWD22-17-4.0
|
1850
|
|
Φ200×1500
|
25~80
|
8~25
|
2.45
|
BWD22-17-4.0
|
1820
|
|
Φ200×2500
|
25~80
|
8~25
|
4.09
|
BWD22-17-5.5
|
1980
|
|
Φ250×2500
|
20~65
|
11~34
|
5.55
|
BWD22-17-7.5
|
2450
|
|
Φ300×3000
|
20~65
|
20~65
|
12.5
|
BWD33-17-15
|
3050
|
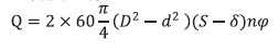
喂料能力计算:
![]()
式中
Q-双管螺旋喂料机的喂料能力(速度为(m3/h)
D-螺旋叶直径(m) δ-螺旋叶厚度(m)
d-螺旋杆直径(m) n -螺旋的转速(r/min)
S-螺旋的螺距(m) ф-物料的充满系数(一般ф=0.9)
●SLW外形图

SLW外形连接尺寸:
|
规格
|
a×a1
|
b×b1
|
c×c1
|
n1-d1
|
A×A1
|
B×B1
|
C×C1
|
|
Φ125x1500
|
200×500
|
270×570
|
320×620
|
20-Φ13
|
500×500
|
570×570
|
620×620
|
|
Φ125x2500
|
200×500
|
270×570
|
320×620
|
20-Φ13
|
500×500
|
570×570
|
620×620
|
|
Φ150x1500
|
200×600
|
270×670
|
320×720
|
24-Φ13
|
600×600
|
670×670
|
720×720
|
|
Φ150x2500
|
200×600
|
270×670
|
320×720
|
24-Φ13
|
600×600
|
670×670
|
720×720
|
|
Φ175x1500
|
230×700
|
310×780
|
360×830
|
28-Φ13
|
700×700
|
780×780
|
830×830
|
|
Φ175x2500
|
230×700
|
310×780
|
360×830
|
28-Φ13
|
700×700
|
780×780
|
830×830
|
|
Φ200x1500
|
250×800
|
330×880
|
390×940
|
28-Φ13
|
800×800
|
880×880
|
940×940
|
|
Φ200x2500
|
250×800
|
330×880
|
390×940
|
28-Φ13
|
800×800
|
880×880
|
940×940
|
|
Φ250x2500
|
250×1000
|
330×1080
|
390×1140
|
36-Φ13
|
1000×1000
|
1080×1080
|
1140×1140
|
|
Φ300x3000
|
250×1200
|
330×1280
|
390×1340
|
44-Φ13
|
1200×1200
|
1280×1280
|
1340×1340
|


